White dwarf
A white dwarf, also called a degenerate dwarf, is a small star composed mostly of electron-degenerate matter. As white dwarfs have mass comparable to the Sun's and their volume is comparable to the Earth's, they are very dense. Their faint luminosity comes from the emission of stored heat. They comprise roughly six percent of all known stars in the solar neighborhood.
Overview
White dwarfs are thought to be the final evolutionary state of all stars whose mass is not too high—over 97 percent of the stars in our Galaxy. After the hydrogen-fusing lifetime of a main-sequence star of low or medium mass ends, it will expand to a red giant, which fuses helium to carbon and oxygen in its core by the triple-alpha process. If a red giant has insufficient mass to generate the core temperatures required to fuse carbon, an inert mass of carbon and oxygen will build up at its center. After shedding its outer layers to form a planetary nebula, it will leave behind this core, which forms the remnant white dwarf.[1] Usually, therefore, white dwarfs are composed of carbon and oxygen. It is also possible that core temperatures suffice to fuse carbon but not neon, in which case an oxygen-neon-magnesium white dwarf may be formed.[2] Also, some helium[3][4] white dwarfs appear to have been formed by mass loss in binary systems.
The material in a white dwarf no longer undergoes fusion reactions, so the star has no source of energy, nor is it supported against gravitational collapse by the heat generated by fusion. It is supported only by electron degeneracy pressure, causing it to be extremely dense. The physics of degeneracy yields a maximum mass for a nonrotating white dwarf, the Chandrasekhar limit—approximately 1.4 solar masses—beyond which it cannot be supported by degeneracy pressure. A carbon-oxygen white dwarf that approaches this mass limit, typically by mass transfer from a companion star, may explode as a Type Ia supernova via a process known as carbon detonation.[1][5] (SN 1006 is thought to be a famous example.)
A white dwarf is very hot when it is formed, but since it has no source of energy, it will gradually radiate away its energy and cool down. This means that its radiation, which initially has a high color temperature, will lessen and redden with time. Over a very long time, a white dwarf will cool to temperatures at which it is no longer visible and become a cold black dwarf.[1] However, since no white dwarf can be older than the age of the Universe (approximately 13.7 billion years),[6] even the oldest white dwarfs still radiate at temperatures of a few thousand kelvins, and no black dwarfs are thought to exist yet.[7][5]
Discovery
The unusual faintness of white dwarfs was first recognized in 1910 by Henry Norris Russell, Edward Charles Pickering and Williamina Fleming;[8], 1 the name white dwarf was coined by Willem Luyten in 1922.[9]
The first white dwarf discovered was in the triple star system of 40 Eridani, which contains the relatively bright main sequence star 40 Eridani A, orbited at a distance by the closer binary system of the white dwarf 40 Eridani B and the main sequence red dwarf 40 Eridani C. The pair 40 Eridani B/C was discovered by Friedrich Wilhelm Herschel on January 31, 1783;[10], 73 it was again observed by Friedrich Georg Wilhelm Struve in 1825 and by Otto Wilhelm von Struve in 1851.[11][12] In 1910, it was discovered by Henry Norris Russell, Edward Charles Pickering and Williamina Fleming that despite being a dim star, 40 Eridani B was of spectral type A, or white.[9] In 1939, Russell looked back on the discovery:[8], 1
I was visiting my friend and generous benefactor, Prof. Edward C. Pickering. With characteristic kindness, he had volunteered to have the spectra observed for all the stars—including comparison stars—which had been observed in the observations for stellar parallax which Hinks and I made at Cambridge, and I discussed. This piece of apparently routine work proved very fruitful—it led to the discovery that all the stars of very faint absolute magnitude were of spectral class M. In conversation on this subject (as I recall it), I asked Pickering about certain other faint stars, not on my list, mentioning in particular 40 Eridani B. Characteristically, he sent a note to the Observatory office and before long the answer came (I think from Mrs. Fleming) that the spectrum of this star was A. I knew enough about it, even in these Paleozoic days, to realize at once that there was an extreme inconsistency between what we would then have called "possible" values of the surface brightness and density. I must have shown that I was not only puzzled but crestfallen, at this exception to what looked like a very pretty rule of stellar characteristics; but Pickering smiled upon me, and said: "It is just these exceptions that lead to an advance in our knowledge," and so the white dwarfs entered the realm of study!
The spectral type of 40 Eridani B was officially described in 1914 by Walter Adams.[13]
The companion of Sirius, Sirius B, was next to be discovered. During the nineteenth century, positional measurements of some stars became precise enough to measure small changes in their location. Friedrich Bessel used just such precise measurements to determine that the stars Sirius (α Canis Majoris) and Procyon (α Canis Minoris) were changing their positions. In 1844 he predicted that both stars had unseen companions:[14]
If we were to regard Sirius and Procyon as double stars, the change of their motions would not surprise us; we should acknowledge them as necessary, and have only to investigate their amount by observation. But light is no real property of mass. The existence of numberless visible stars can prove nothing against the existence of numberless invisible ones.
Bessel roughly estimated the period of the companion of Sirius to be about half a century;[14] C. H. F. Peters computed an orbit for it in 1851.[15] It was not until January 31, 1862 that Alvan Graham Clark observed a previously unseen star close to Sirius, later identified as the predicted companion.[15] Walter Adams announced in 1915 that he had found the spectrum of Sirius B to be similar to that of Sirius.[16]
In 1917, Adriaan Van Maanen discovered Van Maanen's Star, an isolated white dwarf.[17] These three white dwarfs, the first discovered, are the so-called classical white dwarfs.[8], p. 2 Eventually, many faint white stars were found which had high proper motion, indicating that they could be suspected to be low-luminosity stars close to the Earth, and hence white dwarfs. Willem Luyten appears to have been the first to use the term white dwarf when he examined this class of stars in 1922;[9][18][19][20][21] the term was later popularized by Arthur Stanley Eddington.[22][9] Despite these suspicions, the first non-classical white dwarf was not definitely identified until the 1930s. 18 white dwarfs had been discovered by 1939.[8], p. 3 Luyten and others continued to search for white dwarfs in the 1940s. By 1950, over a hundred were known,[23] and by 1999, over 2,000 were known.[24] Since then the Sloan Digital Sky Survey has found over 9,000 white dwarfs, mostly new.[25]
Composition and structure
Although white dwarfs are known with estimated masses as low as 0.17[26] and as high as 1.33[27] solar masses, the mass distribution is strongly peaked at 0.6 solar mass, and the majority lie between 0.5 to 0.7 solar mass.[27] The estimated radii of observed white dwarfs, however, are typically between 0.008 and 0.02 times the radius of the Sun;[28] this is comparable to the Earth's radius of approximately 0.009 solar radius. A white dwarf, then, packs mass comparable to the Sun's into a volume that is typically a million times smaller than the Sun's; the average density of matter in a white dwarf must therefore be, very roughly, 1,000,000 times greater than the average density of the Sun, or approximately 106 grams (1 tonne) per cubic centimeter.[5] White dwarfs are composed of one of the densest forms of matter known, surpassed only by other compact stars such as neutron stars, black holes and, hypothetically, quark stars.[29]
White dwarfs were found to be extremely dense soon after their discovery. If a star is in a binary system, as is the case for Sirius B and 40 Eridani B, it is possible to estimate its mass from observations of the binary orbit. This was done for Sirius B by 1910,[30] yielding a mass estimate of 0.94 solar mass. (A more modern estimate is 1.00 solar mass.)[31] Since hotter bodies radiate more than colder ones, a star's surface brightness can be estimated from its effective surface temperature, and hence from its spectrum. If the star's distance is known, its overall luminosity can also be estimated. Comparison of the two figures yields the star's radius. Reasoning of this sort led to the realization, puzzling to astronomers at the time, that Sirius B and 40 Eridani B must be very dense. For example, when Ernst Öpik estimated the density of a number of visual binary stars in 1916, he found that 40 Eridani B had a density of over 25,000 times the Sun's, which was so high that he called it "impossible".[32] As Arthur Stanley Eddington put it later in 1927:[33], p. 50
We learn about the stars by receiving and interpreting the messages which their light brings to us. The message of the Companion of Sirius when it was decoded ran: "I am composed of material 3,000 times denser than anything you have ever come across; a ton of my material would be a little nugget that you could put in a matchbox." What reply can one make to such a message? The reply which most of us made in 1914 was—"Shut up. Don't talk nonsense."
As Eddington pointed out in 1924, densities of this order implied that, according to the theory of general relativity, the light from Sirius B should be gravitationally redshifted.[22] This was confirmed when Adams measured this redshift in 1925.[34]
Such densities are possible because white dwarf material is not composed of atoms bound by chemical bonds, but rather consists of a plasma of unbound nuclei and electrons. There is therefore no obstacle to placing nuclei closer to each other than electron orbitals—the regions occupied by electrons bound to an atom—would normally allow.[22] Eddington, however, wondered what would happen when this plasma cooled and the energy which kept the atoms ionized was no longer present.[35] This paradox was resolved by R. H. Fowler in 1926 by an application of the newly devised quantum mechanics. Since electrons obey the Pauli exclusion principle, no two electrons can occupy the same state, and they must obey Fermi-Dirac statistics, also introduced in 1926 to determine the statistical distribution of particles which satisfy the Pauli exclusion principle.[36] At zero temperature, therefore, electrons could not all occupy the lowest-energy, or ground, state; some of them had to occupy higher-energy states, forming a band of lowest-available energy states, the Fermi sea. This state of the electrons, called degenerate, meant that a white dwarf could cool to zero temperature and still possess high energy. Another way of deriving this result is by use of the uncertainty principle: the high density of electrons in a white dwarf means that their positions are relatively localized, creating a corresponding uncertainty in their momenta. This means that some electrons must have high momentum and hence high kinetic energy.[35][37]
Compression of a white dwarf will increase the number of electrons in a given volume. Applying either the Pauli exclusion principle or the uncertainty principle, we can see that this will increase the kinetic energy of the electrons, causing pressure.[35][38] This electron degeneracy pressure is what supports a white dwarf against gravitational collapse. It depends only on density and not on temperature. Degenerate matter is relatively compressible; this means that the density of a high-mass white dwarf is so much greater than that of a low-mass white dwarf that the radius of a white dwarf decreases as its mass increases.[5]
The existence of a limiting mass that no white dwarf can exceed is another consequence of being supported by electron degeneracy pressure. These masses were first published in 1929 by Wilhelm Anderson[39] and in 1930 by Edmund C. Stoner.[40] The modern value of the limit was first published in 1931 by Subrahmanyan Chandrasekhar in his paper "The Maximum Mass of Ideal White Dwarfs".[41] For a nonrotating white dwarf, it is equal to approximately 5.7/μe2 solar masses, where μe is the average molecular weight per electron of the star.[42], eq. (63) As the carbon-12 and oxygen-16 which predominantly compose a carbon-oxygen white dwarf both have atomic number equal to half their atomic weight, one should take μe equal to 2 for such a star,[37] leading to the commonly-quoted value of 1.4 solar masses. (Near the beginning of the twentieth century, there was reason to believe that stars were composed chiefly of heavy elements,[40], p. 955 so, in his 1931 paper, Chandrasekhar set the average molecular weight per electron, μe, equal to 2.5, giving a limit of 0.91 solar mass.) Together with William Alfred Fowler, Chandrasekhar received the Nobel prize for this and other work in 1983.[43] The limiting mass is now called the Chandrasekhar limit.
If a white dwarf were to exceed the Chandrasekhar limit, and nuclear reactions did not take place, the pressure exerted by electrons would no longer be able to balance the force of gravity, and it would collapse into a denser object such as a neutron star or black hole.[44] However, carbon-oxygen white dwarfs accreting mass from a neighboring star undergo a runaway nuclear fusion reaction, which leads to a Type Ia supernova explosion in which the white dwarf is destroyed, just before reaching the limiting mass.[45]
White dwarfs have low luminosity and therefore occupy a strip at the bottom of the Hertzsprung-Russell diagram, a graph of stellar luminosity versus color (or temperature). They should not be confused with low-luminosity objects at the low-mass end of the main sequence, such as the hydrogen-fusing red dwarfs, whose cores are supported in part by thermal pressure,[46] or the even lower-temperature brown dwarfs.[47]
Mass-radius relationship and mass limit
It is simple to derive a rough relationship between the mass and radii of white dwarfs using an energy minimization argument. The energy of the white dwarf can be approximated by taking it to be the sum of its gravitational potential energy and kinetic energy. The gravitational potential energy of a unit mass piece of white dwarf, Eg, will be on the order of −GM/R, where G is the gravitational constant, M is the mass of the white dwarf, and R is its radius. The kinetic energy of the unit mass, Ek, will primarily come from the motion of electrons, so it will be approximately N p2/2m, where p is the average electron momentum, m is the electron mass, and N is the number of electrons per unit mass. Since the electrons are degenerate, we can estimate p to be on the order of the uncertainty in momentum, Δp, given by the uncertainty principle, which says that Δp Δx is on the order of the reduced Planck constant, ħ. Δx will be on the order of the average distance between electrons, which will be approximately n−1/3, i.e., the reciprocal of the cube root of the number density, n, of electrons per unit volume. Since there are N M electrons in the white dwarf and its volume is on the order of R3, n will be on the order of N M / R3.[37]
Solving for the kinetic energy per unit mass, Ek, we find that
The white dwarf will be at equilibrium when its total energy, Eg + Ek, is minimized. At this point, the kinetic and gravitational potential energies should be comparable, so we may derive a rough mass-radius relationship by equating their magnitudes:
Solving this for the radius, R, gives[37]
Dropping N, which depends only on the composition of the white dwarf, and the universal constants leaves us with a relationship between mass and radius:
i.e., the radius of a white dwarf is inversely proportional to the cube root of its mass.
Since this analysis uses the non-relativistic formula p2/2m for the kinetic energy, it is non-relativistic. If we wish to analyze the situation where the electron velocity in a white dwarf is close to the speed of light, c, we should replace p2/2m by the extreme relativistic approximation p c for the kinetic energy. With this substitution, we find
If we equate this to the magnitude of Eg, we find that R drops out and the mass, M, is forced to be[37]
To interpret this result, observe that as we add mass to a white dwarf, its radius will decrease, so, by the uncertainty principle, the momentum, and hence the velocity, of its electrons will increase. As this velocity approaches c, the extreme relativistic analysis becomes more exact, meaning that the mass M of the white dwarf must approach Mlimit. Therefore, no white dwarf can be heavier than the limiting mass Mlimit.
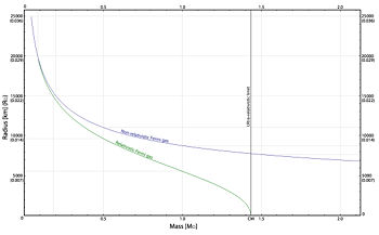
For a more accurate computation of the mass-radius relationship and limiting mass of a white dwarf, one must compute the equation of state which describes the relationship between density and pressure in the white dwarf material. If the density and pressure are both set equal to functions of the radius from the center of the star, the system of equations consisting of the hydrostatic equation together with the equation of state can then be solved to find the structure of the white dwarf at equilibrium. In the non-relativistic case, we will still find that the radius is inversely proportional to the cube root of the mass.[42], eq. (80) Relativistic corrections will alter the result so that the radius becomes zero at a finite value of the mass. This is the limiting value of the mass—called the Chandrasekhar limit—at which the white dwarf can no longer be supported by electron degeneracy pressure. The graph on the right shows the result of such a computation. It shows how radius varies with mass for non-relativistic (blue curve) and relativistic (green curve) models of a white dwarf. Both models treat the white dwarf as a cold Fermi gas in hydrostatic equilibrium. The average molecular weight per electron, μe, has been set equal to 2. Radius is measured in standard solar radii and mass in standard solar masses.[48][42]
These computations all assume that the white dwarf is nonrotating. If the white dwarf is rotating, the equation of hydrostatic equilibrium must be modified to take into account the centrifugal pseudo-force arising from working in a rotating frame.[49] For a uniformly rotating white dwarf, the limiting mass increases only slightly. However, if the star is allowed to rotate nonuniformly, and viscosity is neglected, then, as was pointed out by Fred Hoyle in 1947,[50] there is no limit to the mass for which it is possible for a model white dwarf to be in static equilibrium. Not all of these model stars, however, will be dynamically stable.[51]
Radiation and cooling
The visible radiation emitted by white dwarfs varies over a wide color range, from the blue-white color of an O-type main sequence star to the red of a M-type red dwarf.[52] White dwarf effective surface temperatures extend from over 150,000 K[24] to under 4,000 K.[53][54] In accordance with the Stefan-Boltzmann law, luminosity increases with increasing surface temperature; this surface temperature range corresponds to a luminosity from over 100 times the Sun's to under 1/10,000th that of the Sun's.[54] Hot white dwarfs, with surface temperatures in excess of 30,000 K, have been observed to be sources of soft (i.e., lower-energy) X-rays. This enables the composition and structure of their atmospheres to be studied by soft X-ray and extreme ultraviolet observations.[55]
Unless the white dwarf accretes matter from a companion star or other source, this radiation comes from its stored heat, which is not replenished. White dwarfs have an extremely small surface area to radiate this heat from, so they remain hot for a long time.[1] As a white dwarf cools, its surface temperature decreases, the radiation which it emits reddens, and its luminosity decreases. Since the white dwarf has no energy sink other than radiation, it follows that its cooling slows with time. Bergeron, Ruiz, and Leggett, for example, estimate that after a carbon white dwarf of 0.59 solar mass with a hydrogen atmosphere has cooled to a surface temperature of 7,140 K, taking approximately 1.5 billion years, cooling approximately 500 more kelvins to 6,590 K takes around 0.3 billion years, but the next two steps of around 500 kelvins (to 6,030 K and 5,550 K) take first 0.4 and then 1.1 billion years.[56], Table 2. Although white dwarf material is initially plasma—a fluid composed of nuclei and electrons—it was theoretically predicted in the 1960s that at a late stage of cooling, it should crystallize, starting at the center of the star.[57] The crystal structure is thought to be a body-centered cubic lattice.[58][7] In 1995 it was pointed out that asteroseismological observations of pulsating white dwarfs yielded a potential test of the crystallization theory,[59] and in 2004, Travis Metcalfe and a team of researchers at the Harvard-Smithsonian Center for Astrophysics estimated, on the basis of such observations, that approximately 90% of the mass of BPM 37093 had crystallized.[57][60][61][62] Other work gives a crystallized mass fraction of between 32 percent and 82 percent.[63]
Most observed white dwarfs have relatively high surface temperatures, between 8,000 K and 40,000 K.[64][25] A white dwarf, though, spends more of its lifetime at cooler temperatures than at hotter temperatures, so we should expect that there are more cool white dwarfs than hot white dwarfs. Once we adjust for the selection effect that hotter, more luminous white dwarfs are easier to observe, we do find that decreasing the temperature range examined results in finding more white dwarfs.[65] This trend stops when we reach extremely cool white dwarfs; few white dwarfs are observed with surface temperatures below 4,000 K,[66] and one of the coolest so far observed, WD 0346+246, has a surface temperature of approximately 3,900 K.[53] The reason for this is that, as the Universe's age is finite,[67] there has not been time for white dwarfs to cool down below this temperature. The white dwarf luminosity function can therefore be used to find the time when stars started to form in a region; an estimate for the age of the Galactic disk found in this way is 8 billion years.[65]
A white dwarf will eventually cool and become a non-radiating black dwarf in approximate thermal equilibrium with its surroundings and with the cosmic background radiation. However, no black dwarfs are thought to exist yet.[5]
Atmosphere and spectra
Although most white dwarfs are thought to be composed of carbon and oxygen, spectroscopy typically shows that their emitted light comes from an atmosphere which is observed to be either hydrogen-dominated or helium-dominated. The dominant element is usually at least one thousand times more abundant than all other elements. As explained by Schatzman in the 1940s, the high surface gravity is thought to cause this purity by gravitationally separating the atmosphere so that heavy elements are on the bottom and lighter ones on top.[68][69], §5–6 This atmosphere, the only part of the white dwarf visible to us, is thought to be the top of an envelope which is a residue of the star's envelope in the AGB phase and may also contain material accreted from the interstellar medium. The envelope is believed to consist of a helium-rich layer with mass no more than 1/100th of the star's total mass, which, if the atmosphere is hydrogen-dominated, is overlain by a hydrogen-rich layer with mass approximately 1/10,000th of the stars total mass.[54][70], §4–5.
Although thin, these outer layers determine the thermal evolution of the white dwarf. The degenerate electrons in the bulk of a white dwarf conduct heat well. Most of a white dwarf's mass is therefore almost isothermal, and it is also hot: a white dwarf with surface temperature between 8,000 K and 16,000 K will have a core temperature between approximately 5,000,000 K and 20,000,000 K. The white dwarf is kept from cooling very quickly only by its outer layers' opacity to radiation.[54]
| Primary and secondary features | |
|---|---|
| A | H lines present; no He I or metal lines |
| B | He I lines; no H or metal lines |
| C | Continuous spectrum; no lines |
| O | He II lines, accompanied by He I or H lines |
| Z | Metal lines; no H or He I lines |
| Q | Carbon lines present |
| X | Unclear or unclassifiable spectrum |
| Secondary features only | |
| P | Magnetic white dwarf with detectable polarization |
| H | Magnetic white dwarf without detectable polarization |
| E | Emission lines present |
| V | Variable |
The first attempt to classify white dwarf spectra appears to have been by Gerard P. Kuiper in 1941,[52][71] and various classification schemes have been proposed and used since then.[72][73] The system currently in use was introduced by Edward M. Sion and his coauthors in 1983 and has been subsequently revised several times. It classifies a spectrum by a symbol which consists of an initial D, a letter describing the primary feature of the spectrum followed by an optional sequence of letters describing secondary features of the spectrum (as shown in the table to the right), and a temperature index number, computed by dividing 50,400 K by the effective temperature. For example:
- A white dwarf with only He I lines in its spectrum and an effective temperature of 15,000 K could be given the classification of DB3, or, if warranted by the precision of the temperature measurement, DB3.5.
- A white dwarf with a polarized magnetic field, an effective temperature of 17,000 K, and a spectrum dominated by He I lines which also had hydrogen features could be given the classification of DBAP3.
The symbols ? and : may also be used if the correct classification is uncertain.[52][24]
White dwarfs whose primary spectral classification is DA have hydrogen-dominated atmospheres. They make up the majority (approximately three-quarters) of all observed white dwarfs.[54] A small fraction (roughly 0.1 percent) have carbon-dominated atmospheres, the hot (above 15,000 K) DQ class.[74] The classifiable remainder (DB, DC, DO, DZ, and cool DQ) have helium-dominated atmospheres. Assuming that carbon and metals are not present, which spectral classification is seen depends on the effective temperature. Between approximately 100,000 K to 45,000 K, the spectrum will be classified DO, dominated by singly ionized helium. From 30,000 K to 12,000 K, the spectrum will be DB, showing neutral helium lines, and below about 12,000 K, the spectrum will be featureless and classified DC.[70],§ 2.4[54] The reason for the absence of white dwarfs with helium-dominated atmospheres and effective temperatures between 30,000 K and 45,000 K, called the DB gap, is not clear. It is suspected to be due to competing atmospheric evolutionary processes, such as gravitational separation and convective mixing.[54]
Magnetic field
Magnetic fields in white dwarfs with a strength at the surface of ~1 million gauss (100 teslas) were predicted by P. M. S. Blackett in 1947 as a consequence of a physical law he had proposed which stated that an uncharged, rotating body should generate a magnetic field proportional to its angular momentum.[75] This putative law, sometimes called the Blackett effect, was never generally accepted, and by the 1950s even Blackett felt it had been refuted.[76], 39–43 In the 1960s, it was proposed that white dwarfs might have magnetic fields because of conservation of total surface magnetic flux during the evolution of a non-degenerate star to a white dwarf. A surface magnetic field of ~100 gauss (0.01 T) in the progenitor star would thus become a surface magnetic field of ~100•1002=1 million gauss (100 T) once the star's radius had shrunk by a factor of 100.[69], §8;[77], 484 The first magnetic white dwarf to be observed was GJ 742, which was detected to have a magnetic field in 1970 by its emission of circularly polarized light.[78] It is thought to have a surface field of approximately 300 million gauss (30 kT).[69], §8 Since then magnetic fields have been discovered in well over 100 white dwarfs, ranging from 2×103 to 109 gauss (0.2 T to 100 kT). Only a small number of white dwarfs have been examined for fields, and it has been estimated that at least 10 percent of white dwarfs have fields in excess of 1 million gauss (100 T).[79][80]
Variability
| DAV (GCVS: ZZA) | DA spectral type, having only hydrogen absorption lines in its spectrum |
| DBV (GCVS: ZZB) | DB spectral type, having only helium absorption lines in its spectrum |
| GW Vir (GCVS: ZZO) | Atmosphere mostly C, He and O; may be divided into DOV and PNNV stars |
| Types of pulsating white dwarf[81][82], §1.1, 1.2. | |
- See also: Cataclysmic variables
Early calculations suggested that there might be white dwarfs whose luminosity varied with a period of around 10 seconds, but searches in the 1960s failed to observe this.[69], § 7.1.1;[83] The first variable white dwarf found was HL Tau 76; in 1965 and 1966, Arlo U. Landolt observed it to vary with a period of approximately 12.5 minutes.[84] The reason for this period being longer than predicted is that the variability of HL Tau 76, like that of the other pulsating variable white dwarfs known, arises from non-radial gravity wave pulsations.[69], § 7. Known types of pulsating white dwarf include the DAV, or ZZ Ceti, stars, including HL Tau 76, with hydrogen-dominated atmospheres and the spectral type DA;[69], 891, 895 DBV, or V777 Her, stars, with helium-dominated atmospheres and the spectral type DB;[54], 3525 and GW Vir stars (sometimes subdivided into DOV and PNNV stars), with atmospheres dominated by helium, carbon, and oxygen.[82],§1.1, 1.2;[85],§1. GW Vir stars are not, strictly speaking, white dwarfs, but are stars which are in a position on the Hertzsprung-Russell diagram between the asymptotic giant branch and the white dwarf region. They may be called pre-white dwarfs.[82], § 1.1;[86] These variables all exhibit small (1 percent–30 percent) variations in light output, arising from a superposition of vibrational modes with periods of hundreds to thousands of seconds. Observation of these variations gives asteroseismological evidence about the interiors of white dwarfs.[87]
Formation
White dwarfs are thought to represent the end point of stellar evolution for main-sequence stars with masses from about 0.07 to 10 solar masses.[88][7] The composition of the white dwarf produced will differ depending on the initial mass of the star.
Stars with very low mass
If the mass of a main-sequence star is lower than approximately half a solar mass, it will never become hot enough to fuse helium at its core. It is thought that, over a lifespan exceeding the age (~13.7 billion years)[6] of the Universe, such a star will eventually burn all its hydrogen and end its evolution as a helium white dwarf composed chiefly of helium-4 nuclei. Owing to the time this process takes, it is not thought to be the origin of observed helium white dwarfs. Rather, they are thought to be the product of mass loss in binary systems[3][4][89][90][91][1] or mass loss due to a large planetary companion.[92]
Stars with low to medium mass
If the mass of a main-sequence star is between approximately 0.5 and 8 solar masses, its core will become sufficiently hot to fuse helium into carbon and oxygen via the triple-alpha process, but it will never become sufficiently hot to fuse carbon into neon. Near the end of the period in which it undergoes fusion reactions, such a star will have a carbon-oxygen core which does not undergo fusion reactions, surrounded by an inner helium-burning shell and an outer hydrogen-burning shell. On the Hertzsprung-Russell diagram, it will be found on the asymptotic giant branch. It will then expel most of its outer material, creating a planetary nebula, until only the carbon-oxygen core is left. This process is responsible for the carbon-oxygen white dwarfs which form the vast majority of observed white dwarfs.[89][93][94]
Stars with medium to high mass
If a star is sufficiently massive, its core will eventually become sufficiently hot to fuse carbon to neon, and then to fuse neon to iron. Such a star will not become a white dwarf as the mass of its central, non-fusing, core, supported by electron degeneracy pressure, will eventually exceed the largest possible mass supportable by degeneracy pressure. At this point the core of the star will collapse and it will explode in a core-collapse supernova which will leave behind a remnant neutron star, black hole, or possibly a more exotic form of compact star.[88][95] Some main-sequence stars, of perhaps 8 to 10 solar masses, although sufficiently massive to fuse carbon to neon and magnesium, may be insufficiently massive to fuse neon. Such a star may leave a remnant white dwarf composed chiefly of oxygen, neon, and magnesium, provided that its core does not collapse, and provided that fusion does not proceed so violently as to blow apart the star in a supernova.[96][97] Although some isolated white dwarfs have been identified which may be of this type, most evidence for the existence of such stars comes from the novae called ONeMg or neon novae. The spectra of these novae exhibit abundances of neon, magnesium, and other intermediate-mass elements which appear to be only explicable by the accretion of material onto an oxygen-neon-magnesium white dwarf.[2][98][99]
Fate
A white dwarf is stable once formed and will continue to cool almost indefinitely; eventually, it will become a black white dwarf, also called a black dwarf. Assuming that the Universe continues to expand, it is thought that in 1019 to 1020 years, the galaxies will evaporate as their stars escape into intergalactic space.[100], §IIIA. White dwarfs should generally survive this, although an occasional collision between white dwarfs may produce a new fusing star or a super-Chandrasekhar mass white dwarf which will explode in a type Ia supernova.[100], §IIIC, IV. The subsequent lifetime of white dwarfs is thought to be on the order of the lifetime of the proton, known to be at least 1032 years. Some simple grand unified theories predict a proton lifetime of no more than 1049 years. If these theories are not valid, the proton may decay by more complicated nuclear processes, or by quantum gravitational processes involving a virtual black hole; in these cases, the lifetime is estimated to be no more than 10200 years. If protons do decay, the mass of a white dwarf will decrease very slowly with time as its nuclei decay, until it loses so much mass as to become a nondegenerate lump of matter, and finally disappears completely.[100], §IV.
Stellar system
A white dwarf's stellar and planetary system is inherited from its progenitor star and may interact with the white dwarf in various ways. Infrared spectroscopic observations made by NASA's Spitzer Space Telescope of the central star of the Helix Nebula suggest the presence of a dust cloud, which may be caused by cometary collisions. It is possible that infalling material from this may cause X-ray emission from the central star.[101][102] Similarly, observations made in 2004 indicated the presence of a dust cloud around the young white dwarf star G29-38 (estimated to have formed from its AGB progenitor about 500 million years ago), which may have been created by tidal disruption of a comet passing close to the white dwarf.[103] If a white dwarf is in a binary system with a stellar companion, a variety of phenomena may occur, including novae and Type Ia supernovae. It may also be a super-soft x-ray source if it is able to take material from its companion fast enough to sustain fusion on its surface.
Type Ia supernovae
The mass of an isolated, nonrotating white dwarf cannot exceed the Chandrasekhar limit of ~1.4 solar masses. (This limit may increase if the white dwarf is rotating rapidly and nonuniformly.)[104] White dwarfs in binary systems, however, can accrete material from a companion star, increasing both their mass and their density. As their mass approaches the Chandrasekhar limit, this could theoretically lead to either the explosive ignition of fusion in the white dwarf or its collapse into a neutron star.[44]
Accretion provides the currently favored mechanism, the single-degenerate model, for type Ia supernovae. In this model, a carbon-oxygen white dwarf accretes material from a companion star,[45], p. 14. increasing its mass and compressing its core. It is believed that compressional heating of the core leads to ignition of carbon fusion as the mass approaches the Chandrasekhar limit.[45] Because the white dwarf is supported against gravity by quantum degeneracy pressure instead of by thermal pressure, adding heat to the star's interior increases its temperature but not its pressure, so the white dwarf does not expand and cool in response. Rather, the increased temperature accelerates the rate of the fusion reaction, in a runaway process that feeds on itself. The thermonuclear flame consumes much of the white dwarf in a few seconds, causing a type Ia supernova explosion that obliterates the star.[5][45][105] In another possible mechanism for type Ia supernovae, the double-degenerate model, two carbon-oxygen white dwarfs in a binary system merge, creating an object with mass greater than the Chandrasekhar limit in which carbon fusion is then ignited.[45], 14.
Cataclysmic variables
When accretion of material does not push a white dwarf close to the Chandrasekhar limit, accreted hydrogen-rich material on the surface may still ignite in a thermonuclear explosion. Since the white dwarf's core remains intact, these surface explosions can be repeated as long as accretion continues. This weaker kind of repetitive cataclysmic phenomenon is called a (classical) nova. Astronomers have also observed dwarf novae, which have smaller, more frequent luminosity peaks than classical novae. These are thought to not be caused by fusion but rather by the release of gravitational potential energy during accretion. In general, binary systems with a white dwarf accreting matter from a stellar companion are called cataclysmic variables. As well as novae and dwarf novae, several other classes of these variables are known.[5][45][106][107] Both fusion- and accretion-powered cataclysmic variables have been observed to be X-ray sources.[107]
See also
- Brown dwarf
- Hertzsprung-Russell diagram
- Neutron star
- Planetary nebula
- Red dwarf
- Supernova
Notes
- ↑ 1.0 1.1 1.2 1.3 1.4 Michael Richmond, Late stages of evolution for low-mass stars. Lecture notes, Physics 230, Rochester Institute of Technology. Retrieved November 7, 2008.
- ↑ 2.0 2.1 K. Werner, N.J. Hammer, T. Nagel, T. Rauch, and S. Dreizler. 2004. On Possible Oxygen/Neon White Dwarfs: H1504+65 and the White Dwarf Donors in Ultracompact X-ray Binaries. in D. Koester and S. Moehler. 2005. 14th European Workshop on White Dwarfs; Proceedings of a meeting held at Kiel, July 19–23, 2004. (San Francisco, CA: Astronomical Society of the Pacific. ISBN 9781583811979), 165. Retrieved November 7, 2008.
- ↑ 3.0 3.1 James Liebert, P. Bergeron, Daniel Eisenstein, H.C. Harris, S.J. Kleinman, Atsuko Nitta, and Jurek Krzesinski. 2004. A Helium White Dwarf of Extremely Low Mass. The Astrophysical Journal. 606(2):L147–L149. Retrieved November 7, 2008.
- ↑ 4.0 4.1 Press release. 2007. Cosmic weight loss: The lowest mass white dwarf. Harvard-Smithsonian Center for Astrophysics. Retrieved November 7, 2008.
- ↑ 5.0 5.1 5.2 5.3 5.4 5.5 5.6 Jennifer Johnson, Extreme Stars: White Dwarfs & Neutron Stars. Lecture notes, Astronomy 162. Ohio State University. Retrieved November 7, 2008.
- ↑ 6.0 6.1 D.N. Spergel, et al. 2007. Wilkinson Microwave Anisotropy Probe (WMAP) Three Year Results: Implications for Cosmology. ApJS. 170:377. Retrieved November 7, 2008.
- ↑ 7.0 7.1 7.2 G. Fontaine, P. Brassard, and P. Bergeron. 2001. The Potential of White Dwarf Cosmochronology. Publications of the Astronomical Society of the Pacific 113 (782):409–435. Retrieved November 7, 2008.
- ↑ 8.0 8.1 8.2 8.3 E. Schatzman, 1958. White Dwarfs. (Amsterdam, NL: North-Holland.)
- ↑ 9.0 9.1 9.2 9.3 J.B. Holberg, 2005. How Degenerate Stars Came to be Known as White Dwarfs. Bulletin of the American Astronomical Society 37:1503. Retrieved November 7, 2008.
- ↑ William Herschel, (1785). Catalogue of Double Stars. Philosophical Transactions of the Royal Society of London 75:40–126. Retrieved November 7, 2008.
- ↑ W.H. van den Bos. (1926). The orbit and the masses of 40 Eridani BC. Bulletin of the Astronomical Institutes of the Netherlands 3(98): 128–132. Retrieved November 7, 2008.
- ↑ W.D. Heintz, 1974. Astrometric study of four visual binaries. Astronomical Journal 79(7):819–825. Retrieved November 7, 2008.
- ↑ Walter S. Adams, (1914) An A-Type Star of Very Low Luminosity. Publications of the Astronomical Society of the Pacific 26(155):198. Retrieved November 7, 2008.
- ↑ 14.0 14.1 F.W. Bessel, J.F.W. Herschel. (1844). On the Variations of the Proper Motions of Procyon and Sirius. Monthly Notices of the Royal Astronomical Society 6:136–141. Retrieved November 7, 2008.
- ↑ 15.0 15.1 Camille Flammarion, (1877). The Companion of Sirius. The Astronomical Register 15(176):186–189. Retrieved November 7, 2008.
- ↑ W.S. Adams, 1915. The Spectrum of the Companion of Sirius. Publications of the Astronomical Society of the Pacific. 27(161):236–237. Retrieved November 7, 2008.
- ↑ A. van Maanen, (1917). Two Faint Stars with Large Proper Motion. Publications of the Astronomical Society of the Pacific 29(172):258–259. Retrieved November 7, 2008.
- ↑ Willem J. Luyten, 1922. The Mean Parallax of Early-Type Stars of Determined Proper Motion and Apparent Magnitude. Publications of the Astronomical Society of the Pacific 34(199):156–160. Retrieved November 7, 2008.
- ↑ Willem J. Luyten, 1922. Note on Some Faint Early Type Stars with Large Proper Motions. Publications of the Astronomical Society of the Pacific 34(197):54–55. Retrieved November 7, 2008.
- ↑ Luyten, Willem J. 1922. Additional Note on Faint Early-Type Stars with Large Proper-Motions. Publications of the Astronomical Society of the Pacific 34(198):132. Retrieved November 7, 2008.
- ↑ Willem J. Luyten, 1922. Third Note on Faint Early Type Stars with Large Proper Motion. Publications of the Astronomical Society of the Pacific 34(202):356–357. Retrieved November 7, 2008.
- ↑ 22.0 22.1 22.2 A.S. Eddington, 1924. On the relation between the masses and luminosities of the stars. Monthly Notices of the Royal Astronomical Society. 84:308–332. Retrieved November 7, 2008.
- ↑ Luyten, Willem J. 1950. The search for white dwarfs. Astronomical Journal. 55(1183):86–89. Retrieved November 7, 2008.
- ↑ 24.0 24.1 24.2 24.3 George P. McCook and Edward M. Sion. 1999. A Catalog of Spectroscopically Identified White Dwarfs. The Astrophysical Journal Supplement Series 121(1):1–130. Retrieved November 7, 2008.
- ↑ 25.0 25.1 Daniel J. Eisenstein, et al. 2006. A Catalog of Spectroscopically Confirmed White Dwarfs from the Sloan Digital Sky Survey Data Release 4. The Astrophysical Journal Supplement Series 167(1):40–58. Retrieved November 7, 2008.
- ↑ Mukremin Kulic, Carlos Allende Prieto, Warren R. Brown, and D. Koester. 2007. The Lowest Mass White Dwarf. The Astrophysical Journal 660(2):1451–1461. Retrieved November 7, 2008.
- ↑ 27.0 27.1 S.O. Kepler, et al. 2007. White dwarf mass distribution in the SDSS. Monthly Notices of the Royal Astronomical Society 375(4):1315–1324. Retrieved November 7, 2008.
- ↑ H.L. Shipman, 1979. Masses and radii of white-dwarf stars. III - Results for 110 hydrogen-rich and 28 helium-rich stars. The Astrophysical Journal 228:240–256. Retrieved November 7, 2008.
- ↑ Fredrik Sandin, 2005. Exotic Phases of Matter in Compact Stars. Licentiate thesis, Luleå University of Technology. Retrieved November 7, 2008.
- ↑ L. Boss, 1910. Preliminary General Catalogue. (Washington, DC: Carnegie Institution.)
- ↑ James Liebert, Patrick A. Young, David Arnett, J.B. Holberg, and Kurtis A. Williams. 2005. The Age and Progenitor Mass of Sirius B. The Astrophysical Journal 630(1):L69–L72.
- ↑ E. Öpik, 1916. The Densities of Visual Binary Stars. The Astrophysical Journal 44:292–302. Retrieved November 7, 2008.
- ↑ A.S. Eddington, 1927. Stars and Atoms. (Oxford, UK: Clarendon Press.)
- ↑ Walter S. Adams, 1925. The Relativity Displacement of the Spectral Lines in the Companion of Sirius. Proceedings of the National Academy of Sciences of the United States of America. 11(7):382–387. Retrieved November 7, 2008.
- ↑ 35.0 35.1 35.2 R.H. Fowler, 1926. On Dense Matter. Monthly Notices of the Royal Astronomical Society. 87:114–122. Retrieved November 7, 2008.
- ↑ Lilliam H. Hoddeson, and G. Baym. 1980. The Development of the Quantum Mechanical Electron Theory of Metals: 1900-28. Proceedings of the Royal Society of London, Series A, Mathematical and Physical Sciences. 371(1744):8–23.
- ↑ 37.0 37.1 37.2 37.3 37.4 Estimating Stellar Parameters from Energy Equipartition. ScienceBits. Retrieved November 7, 2008.
- ↑ Rachel Bean, Lecture 12 - Degeneracy pressure. Lecture notes, Astronomy 211. Cornell University. Retrieved November 7, 2008.
- ↑ Wilhelm Anderson, 1929. Über die Grenzdichte der Materie und der Energie. Zeitschrift für Physik. 56(11–12):851–856.
- ↑ 40.0 40.1 Edmund C. Stoner, 1930. The Equilibrium of Dense Stars. Philosophical Magazine (7th series) 9:944–963.
- ↑ S. Chandrasekhar, 1931. The Maximum Mass of Ideal White Dwarfs. The Astrophysical Journal 74(1):81–82. Retrieved November 7, 2008.
- ↑ 42.0 42.1 42.2 Chandrasekhar, S. 1935. The Highly Collapsed Configurations of a Stellar Mass (second paper). Monthly Notices of the Royal Astronomical Society 95:207–225. Retrieved November 7, 2008.
- ↑ The Nobel Prize in Physics 1983. Nobel Foundation. Retrieved November 7, 2008.
- ↑ 44.0 44.1 R. Canal and J. Gutierrez. 1997. The Possible White Dwarf-Neutron Star Connection. arXiv:astro-ph/9701225v1. Retrieved November 7, 2008.
- ↑ 45.0 45.1 45.2 45.3 45.4 45.5 Wolfgang Hillebrandt and Jens C. Niemeyer. 2000. Type IA Supernova Explosion Models. Annual Review of Astronomy and Astrophysics 38:191–230. Retrieved November 7, 2008.
- ↑ Gilles Chabrier and Isabelle Baraffe. 2000. Theory of Low-Mass Stars and Substellar Objects. Annual Review of Astronomy and Astrophysics 38:337–377. Retrieved November 7, 2008.
- ↑ Jim Kaler, The Hertzsprung-Russell (HR) diagram. astro.uiuc.edu. Retrieved November 7, 2008.
- ↑ Standards for Astronomical Catalogues, Version 2.0, section 3.2.2. vizier.u-strasbg.fr. Retrieved November 7, 2008.
- ↑ Joel E. Tohline, The Structure, Stability, and Dynamics of Self-Gravitating Systems. phys.lsu.edu. Retrieved November 7, 2008.
- ↑ F. Hoyle, 1947. Note on equilibrium configurations for rotating white dwarfs. Monthly Notices of the Royal Astronomical Society 107:231–236. Retrieved November 7, 2008.
- ↑ Jeremiah P. Ostriker, and Peter Bodenheimer. 1968. Rapidly Rotating Stars. II. Massive White Dwarfs. The Astrophysical Journal 151:1089–1098. Retrieved November 7, 2008.
- ↑ 52.0 52.1 52.2 E.M. Sion, J.L. Greenstein, J.D. Landstreet, J. Liebert, H.L. Shipman, and G.A. Wegner. 1983. A proposed new white dwarf spectral classification system. The Astrophysical Journal 269(1):253–257. Retrieved November 7, 2008.
- ↑ 53.0 53.1 N.C. Hambly, S.J. Smartt, and S. Hodgkin. 1997. WD 0346+246: A Very Low Luminosity, Cool Degenerate in Taurus. The Astrophysical Journal 489:L157–L160. Retrieved November 7, 2008.
- ↑ 54.0 54.1 54.2 54.3 54.4 54.5 54.6 54.7 Gilles Fontaine and François Wesemael. 2001. "White dwarfs." in Paul Murdin, (ed.) 2001. Encyclopedia of Astronomy and Astrophysics. (Bristol, UK; Philadelphia, PA: Institute of Physics Publishing; London, UK; New York, NY; Tokyo, JP: Nature Publishing Group. ISBN 0333750888.)
- ↑ J. Heise, 1985. X-ray emission from isolated hot white dwarfs. Space Science Reviews 40:79–90. Retrieved November 7, 2008.
- ↑ P. Bergeron, Maria Teresa Ruiz, and S.K. Leggett. The Chemical Evolution of Cool White Dwarfs and the Age of the Local Galactic Disk. The Astrophysical Journal Supplement Series 108(1):339–387. Retrieved November 7, 2008.
- ↑ 57.0 57.1 T.S. Metcalfe, M.H. Montgomery, and A. Kanaan. 2004. Testing White Dwarf Crystallization Theory with Asteroseismology of the Massive Pulsating DA Star BPM 37093. The Astrophysical Journal 605():L133–L136. Retrieved November 7, 2008.
- ↑ J.L. Barrat, J.P. Hansen, and R. Mochkovitch. 1988. Crystallization of carbon-oxygen mixtures in white dwarfs. Astronomy and Astrophysics 199(1–2):L15–L18. Retrieved November 7, 2008.
- ↑ D.E. Winget, 1995. The Status of White Dwarf Asteroseismology and a Glimpse of the Road Ahead. Baltic Astronomy 4:129–136. Retrieved November 7, 2008.
- ↑ David Whitehouse, 2004. Diamond star thrills astronomers. BBC News. Retrieved November 7, 2008.
- ↑ Press release. Harvard-Smithsonian Center for Astrophysics. Retrieved November 7, 2008.
- ↑ A. Kanaan, et al. 2004. Whole Earth Telescope observations of BPM 37093: a seismological test of crystallization theory in white dwarfs. arXiv:astro-ph/0411199v1. Retrieved November 7, 2008.
- ↑ P. Brassard, and G. Fontaine. 2005. Asteroseismology of the Crystallized ZZ Ceti Star BPM 37093: A Different View. The Astrophysical Journal 622(1):572–576. Retrieved November 7, 2008.
- ↑ G.P. McCook, and E.M. Sion. III/235A: A Catalogue of Spectroscopically Identified White Dwarfs. Centre de Données astronomiques de Strasbourg.
- ↑ 65.0 65.1 S.K. Leggett, Maria Teresa Ruiz, and P. Bergeron. 1998. The Cool White Dwarf Luminosity Function and the Age of the Galactic Disk. The Astrophysical Journal 497:294–302. Retrieved November 7, 2008.
- ↑ Evalyn Gates, et al. 2004. Discovery of New Ultracool White Dwarfs in the Sloan Digital Sky Survey. The Astrophysical Journal 612(2):L129–L132. Retrieved November 7, 2008.
- ↑ James S. Trefil, (1983) 2004. The Moment of Creation: Big Bang Physics from Before the First Millisecond to the Present Universe. (reprint ed. Mineola, NY: Dover Publications. ISBN 0486438139).
- ↑ Evry Schatzman, 1945. Théorie du débit d'énergie des naines blanches. Annales d'Astrophysique 8:143–209. Retrieved November 7, 2008.
- ↑ 69.0 69.1 69.2 69.3 69.4 69.5 D. Koester and G. Chanmugam. 1990. Physics of white dwarf stars. Reports on Progress in Physics 53:837–915. Retrieved November 7, 2008.
- ↑ 70.0 70.1 Steven D. Kawaler, "White Dwarf Stars" in S.D. Kawaler, I. Novikov, and G. Srinivasan, edited by Georges Meynet and Daniel Schaerer. 1997. Stellar remnants. (Berlin, DE: Springer. Lecture notes for Saas-Fee advanced course number 25. ISBN 3540615202).
- ↑ Gerard P. Kuiper, 1941. List of Known White Dwarfs. Publications of the Astronomical Society of the Pacific 53(314):248–252. Retrieved November 7, 2008.
- ↑ Willem J. Luyten, 1952. The Spectra and Luminosities of White Dwarfs. Astrophysical Journal 116:283–290. Retrieved November 7, 2008.
- ↑ Jesse Leonard Greenstein, 1960. "Stellar atmospheres" Stars and Stellar Systems, vol. 6, Stellar Atmospheres. (Chicago, IL: University of Chicago Press) Retrieved November 7, 2008.
- ↑ Patrick Dufour, James Liebert, G. Fontaine, and N. Behara. 2007. White dwarf stars with carbon atmospheres. Nature 450(7169): 522–524. Retrieved November 7, 2008.
- ↑ P.M.S. Blackett, 1947. The magnetic field of massive rotating bodies. Nature 159(4046):658–666. Retrieved November 7, 2008.
- ↑ Bernard Lovell, 1975. "Patrick Maynard Stuart Blackett, Baron Blackett, of Chelsea, 18 November 1897-13 July 1974." Biographical Memoirs of Fellows of the Royal Society. 21:1–115.
- ↑ V.L. Ginzburg, V.V. Zheleznyakov, and V.V. Zaitsev. 1969. Coherent Mechanisms of Radio Emission and Magnetic Models of Pulsars. Astrophysics and Space Science 4:464–504. Retrieved November 7, 2008.
- ↑ James C. Kemp, John B. Swedlund, J.D. Landstreet, and J.R.P. Angel. 1970. Discovery of Circularly Polarized Light from a White Dwarf. The Astrophysical Journal 161:L77–L79. Retrieved November 7, 2008.
- ↑ S. Jordan, R. Aznar Cuadrado, R. Napiwotzki, H.M. Schmid, and S.K. Solanki. 2007. The fraction of DA white dwarfs with kilo-Gauss magnetic fields. Astronomy and Astrophysics 462(3):1097–1101. Retrieved November 7, 2008.
- ↑ James Liebert, P. Bergeron, and J.B. Holberg. The True Incidence of Magnetism Among Field White Dwarfs. Astronomical Journal 125(1):348–353. Retrieved November 7, 2008.
- ↑ ZZ Ceti variables. Centre de Données astronomiques de Strasbourg. Retrieved November 7, 2008.
- ↑ 82.0 82.1 82.2 P.O. Quirion, G. Fontaine, and P. Brassard. 2007. Mapping the Instability Domains of GW Vir Stars in the Effective Temperature-Surface Gravity Diagram. The Astrophysical Journal Supplement Series 171(1):219–248. Retrieved November 7, 2008.
- ↑ George M. Lawrence, Jeremiah P. Ostriker, and James E. Hesser. 1967. Ultrashort-Period Stellar Oscillations. I. Results from White Dwarfs, Old Novae, Central Stars of Planetary Nebulae, 3C 273, and Scorpius XR-1. The Astrophysical Journal 148(3):L161–L163. Retrieved November 7, 2008.
- ↑ Arlo U. Landolt, 1968. A New Short-Period Blue Variable. The Astrophysical Journal 153(1):151–164. Retrieved November 7, 2008.
- ↑ T. Nagel and K. Werner. 2004. Detection of non-radial g-mode pulsations in the newly discovered PG 1159 star HE 1429-1209. Astronomy and Astrophysics 426:L45–L48. Retrieved November 7, 2008.
- ↑ M.S. O'Brien, 2000. The Extent and Cause of the Pre-White Dwarf Instability Strip. The Astrophysical Journal 532(2):1078–1088. Retrieved November 7, 2008.
- ↑ D.E. Winget, 1998. Asteroseismology of white dwarf stars. Journal of Physics: Condensed Matter 10(49):11247–11261. Retrieved November 7, 2008.
- ↑ 88.0 88.1 A. Heger, C.L. Fryer, S.E. Woosley, N. Langer, and D.H. Hartmann. 2003. How Massive Single Stars End Their Life. The Astrophysical Journal 591(1):288–300. Retrieved November 7, 2008.
- ↑ 89.0 89.1 Simon Jeffery, Stars Beyond Maturity. arm.ac.uk. Retrieved November 7, 2008.
- ↑ M.J. Sarna, E. Ergma, and J. Gerskevits. 2001. Helium core white dwarf evolution—including white dwarf companions to neutron stars. Astronomische Nachrichten 322(5/6):405–410. Retrieved November 7, 2008.
- ↑ O.G. Benvenuto, M.A. De Vito. 2005. The formation of helium white dwarfs in close binary systems - II. Monthly Notices of the Royal Astronomical Society. 362(3):891–905. Retrieved November 7, 2008.
- ↑ Planet diet helps white dwarfs stay young and trim. NewScientist.com news service. Retrieved November 7, 2008.
- ↑ Vik Dhillon, the evolution of low-mass stars. Lecture notes, Physics 213. University of Sheffield. Retrieved November 7, 2008.
- ↑ Vik Dhillon, the evolution of high-mass stars. Lecture notes, Physics 213. University of Sheffield. Retrieved November 7, 2008.
- ↑ J. Schaffner-Bielich, 2005. Strange quark matter in stars: a general overview. Journal of Physics G: Nuclear and Particle Physics. 31(6):S651–S657; also arXiv:astro-ph/0412215v1. Retrieved November 7, 2008.
- ↑ Ken'ichi Nomoto, 1984. Evolution of 8–10 solar mass stars toward electron capture supernovae. I - Formation of electron-degenerate O + Ne + Mg cores. The Astrophysical Journal 277:791–805. Retrieved November 7, 2008.
- ↑ S.E. Woosley, A. Heger, and T.A. Weaver. 2002. The evolution and explosion of massive stars. Reviews of Modern Physics 74(4):1015–1071. Retrieved November 7, 2008.
- ↑ K. Werner, T. Rauch, M.A. Barstow, and J.W. Kruk. 2004. Chandra and FUSE spectroscopy of the hot bare stellar core H 1504+65. Astronomy and Astrophysics. 421:1169–1183. Retrieved November 7, 2008.
- ↑ Mario Livio and James W. Truran. 1994. On the interpretation and implications of nova abundances: an abundance of riches or an overabundance of enrichments. The Astrophysical Journal 425(2):797–801. Retrieved November 7, 2008.
- ↑ 100.0 100.1 100.2 Fred C. Adams and Gregory Laughlin. 1997. A dying universe: the long-term fate and evolution of astrophysical objects. Reviews of Modern Physics 69(2):337–372. Retrieved November 7, 2008.
- ↑ Comet clash kicks up dusty haze. BBC News. Retrieved November 7, 2008.
- ↑ Su, K.Y.L., Y.H. Chu, G.H. Rieke, P.J. Huggins, R. Gruendl, R. Napiwotzki, T. Rauch, W.B. Latter, and K. Volk. 2007. A Debris Disk around the Central Star of the Helix Nebula? The Astrophysical Journal. 657(1):L41–L45. Retrieved November 7, 2008.
- ↑ Reach, William T., Marc J. Kuchner, Ted von Hippel, Adam Burrows, Fergal Mullally, Mukremin Kilic, and D.E. Winget. 2005. The Dust Cloud around the White Dwarf G29-38. The Astrophysical Journal. 635(2):L161–L164. Retrieved November 7, 2008.
- ↑ S.C. Yoon, and N. Langer. 2004. Presupernova Evolution of Accreting White Dwarfs with Rotation. Astronomy and Astrophysics 419(2):623–644. Retrieved November 7, 2008.
- ↑ S.I. Blinnikov, et al. 2006. Theoretical light curves for deflagration models of type Ia supernova. Astronomy and Astrophysics 453(1):229–240. Retrieved November 7, 2008.
- ↑ Imagine the Universe! Cataclysmic Variables. Fact sheet at NASA Goddard. Retrieved November 7, 2008.
- ↑ 107.0 107.1 Introduction to Cataclysmic Variables (CVs). Fact sheet at NASA Goddard. Retrieved November 7, 2008.
ReferencesISBN links support NWE through referral fees
- Kawaler, S.D., I. Novikov, and G. Srinivasan, edited by Georges Meynet and Daniel Schaerer. 1997. Stellar remnants. Berlin, DE: Springer. ISBN 3540615202.
- Koester, D., and S. Moehler. 2005. 14th European Workshop on White Dwarfs; Proceedings of a meeting held at Kiel, July 19–23, 2004. San Francisco, CA: Astronomical Society of the Pacific. ISBN 9781583811979.
- Murdin, Paul, ed. 2001. Encyclopedia of Astronomy and Astrophysics. Bristol, UK; Philadelphia, PA: Institute of Physics Publishing; London, UK; New York, NY; Tokyo, JP: Nature Publishing Group. ISBN 0333750888.
- Shapiro, Stuart L., and Saul A. Teukolsky. 1983. Black holes, white dwarfs, and neutron stars: the physics of compact objects. New York, NY: Wiley. ISBN 0471873179.
- Trefil, James S. (1983) 2004. The Moment of Creation: Big Bang Physics from Before the First Millisecond to the Present Universe. reprint ed. Mineola, NY: Dover Publications. ISBN 0486438139.
External links
All links retrieved May 4, 2023.
- Koester, D. and G. Chanmugam. 1990. Physics of white dwarf stars. Reports on Progress in Physics 53:837–915.
- Gentile, Dave. 1995. White dwarf stars and the Chandrasekhar limit. Master's thesis, DePaul University.
- Estimating Stellar Parameters from Energy Equipartition, sciencebits.com. (Discusses how to find mass-radius relations and mass limits for white dwarfs using simple energy arguments.)
- Winget, D.E. 1998. Asteroseismology of white dwarf stars. Journal of Physics: Condensed Matter. 10(49):11247–11261. DOI 10.1088/0953-8984/10/49/014.
- Wickramasinghe, D.T., and Lilia Ferrario. 2000. Magnetism in Isolated and Binary White Dwarfs. Publications of the Astronomical Society of the Pacific. 112(773):873–924.
- Provencal, J.L., H.L. Shipman, Erik Hog, P. Thejll. 1998. Testing the White Dwarf Mass-Radius Relation with HIPPARCOS. The Astrophysical Journal. 494:759–767.
- Gates, Evalyn, Geza Gyuk, Hugh C. Harris, Mark Subbarao, Scott Anderson, S.J. Kleinman, James Liebert, Howard Brewington, J. Brinkmann, Michael Harvanek, Jurek Krzesinski, Don Q. Lamb, Dan Long, Eric H. Neilsen, Jr., Peter R. Newman, Atsuko Nitta, and Stephanie A. Snedden. 2004. Discovery of New Ultracool White Dwarfs in the Sloan Digital Sky Survey. The Astrophysical Journal. 612(2):L129–L132.
- Villanova University White Dwarf Catalogue WD. G.P. McCook and E.M. Sion.
- Dufour, P., J. Liebert, G. Fontaine, and N. Behara. 2007. Rare white dwarf stars with carbon atmospheres. Nature. 450:522–524. (doi=10.1038/nature06318).
| |||||||||||||||||
Credits
New World Encyclopedia writers and editors rewrote and completed the Wikipedia article in accordance with New World Encyclopedia standards. This article abides by terms of the Creative Commons CC-by-sa 3.0 License (CC-by-sa), which may be used and disseminated with proper attribution. Credit is due under the terms of this license that can reference both the New World Encyclopedia contributors and the selfless volunteer contributors of the Wikimedia Foundation. To cite this article click here for a list of acceptable citing formats.The history of earlier contributions by wikipedians is accessible to researchers here:
The history of this article since it was imported to New World Encyclopedia:
Note: Some restrictions may apply to use of individual images which are separately licensed.