Heterocyclic compound

From New World Encyclopedia


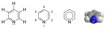
Various representations of a molecule of pyridine. The hexagonal ring is composed of five carbon atoms (at the five unmarked corners) and one nitrogen atom (marked with an N).

Heterocyclic compounds are organic compounds that contain a ring structure containing atoms in addition to carbon, such as sulfur, oxygen or nitrogen, as part of the ring. They may be either simple aromatic rings or non-aromatic rings. Some examples are pyridine (C5H5N), pyrimidine (C4H4N2) and dioxane (C4H8O2).

Note that compounds such as cyclopropane, an anaesthetic with explosive properties, and cyclohexane, a solvent, are not heterocyclic, they are merely cycloalkanes. The suffix '-cyclic' implies a ring structure, while 'hetero' refers to an atom other than carbon, as above. Many heterocyclic compounds, including some amines, are carcinogenic.

Heterocyclic chemistry is the chemistry branch dealing exclusively with synthesis, properties and applications of heterocycles especially vital to drug design.

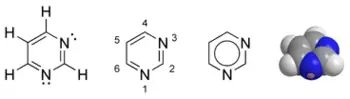
Various representations of a molecule of pyrimidine. The hexagonal ring is composed of four carbon atoms (at the four unmarked corners) and two nitrogen (N) atoms.
A molecule of 1,4-dioxane has two oxygen (O) atoms in its ring structure.

3-membered rings

Heterocycles with three atoms in the ring are more reactive because of ring strain. Those containing one heteroatom are generally stable. Those with two heteroatoms are more likely to occur as reactive intermediates. Common 3-membered heterocycles are:

heteroatom saturated unsaturated
Nitrogen aziridine
Oxygen ethylene oxide (epoxides, oxiranes) oxirene
Sulphur thiirane (episulfides)

4-membered rings

heteroatom saturated unsaturated
Nitrogen azetidine
Oxygen oxetane

5-membered rings

With heterocycles containing five atoms, the unsaturated compounds are frequently more stable because of aromaticity.

heteroatom saturated unsaturated
Nitrogen dihydropyrrole (pyrroline) & tetrahydropyrrole (pyrrolidine) pyrrole
Oxygen dihydrofuran & tetrahydrofuran furan
Sulphur dihydrothiophene & tetrahydrothiophene thiophene (thiole)
Arsenic arsole

With two heteroatoms:

  • The azoles:
    • Two N: pyrazole & imidazole
    • Three N: triazole
    • Four N: tetrazole
    • One N and one O: oxazole & isoxazole
    • One N and one S: thiazole & isothiazole
  • Two S: Dithiolane

6-membered rings

heteroatom saturated unsaturated
Nitrogen piperidine pyridine
Oxygen tetrahydropyran pyran
Sulphur Thiane Thiine aka thiapyrane

With two heteroatoms:

  • Two N: Pyridazine, Pyrimidine, and Pyrazine are the 1,2-, 1,3-, and 1,4-isomers, respectively.
  • Two N: Piperazine
  • One N and one O: Oxazines
  • One N and one S: Thiazine
  • Two S: Dithiane
  • Two O: Dioxane

Heterocyclic amines and cancer

Some heterocyclic amines (HCAs) found in cooked meat are known carcinogens. Research has shown that cooking certain meats at high temperatures creates chemicals that are not present in uncooked meats. For example, heterocyclic amines are the carcinogenic chemicals formed from the cooking of muscle meats such as beef, pork, fowl, and fish. HCAs form when amino acids and creatine (a chemical found in muscles) react at high cooking temperatures. Researchers have identified 17 different HCAs resulting from the cooking of muscle meats that may pose human cancer risk.[1] NCI's Division of Cancer Epidemiology and Genetics found a link between individuals with stomach cancer and the consumption of cooked meat, and other studies for colorectal, pancreatic, and breast cancer is associated with high intakes of well-done, fried, or barbecued meats. Other sources of protein (milk, eggs, tofu, and organ meats such as liver) have very little or no HCA content naturally or when cooked.

See also

Notes

  1. ↑ Heterocyclic Amines in Cooked Meats National Cancer Institute. Retrieved December 10, 2007.

References
ISBN links support NWE through referral fees

  • Eicher, Theophil, Siegfried Hauptmann, and Andreas Speicher. 2003. The Chemistry of Heterocycles: Structure, Reactions, Syntheses, and Applications. Weinheim: Wiley-VCH. ISBN 3527307206
  • Joule, J. A., and K. Mills. 2000. Heterocyclic Chemistry. 4th ed. Malden, MA: Blackwell Science. ISBN 0632054530
  • McMurry, John. 2004. Organic Chemistry. 6th ed. Belmont, CA: Brooks/Cole. ISBN 0534420052
  • Morrison, Robert T., and Robert N. Boyd. 1992. Organic Chemistry. 6th ed. Englewood Cliffs, NJ: Prentice Hall. ISBN 0-13-643669-2
  • Solomons, T.W. Graham, and Craig B. Fryhle. 2004. Organic Chemistry. 8th ed. Hoboken, NJ: John Wiley. ISBN 0471417998

External links

All links retrieved July 16, 2024.

Credits

New World Encyclopedia writers and editors rewrote and completed the Wikipedia article in accordance with New World Encyclopedia standards. This article abides by terms of the Creative Commons CC-by-sa 3.0 License (CC-by-sa), which may be used and disseminated with proper attribution. Credit is due under the terms of this license that can reference both the New World Encyclopedia contributors and the selfless volunteer contributors of the Wikimedia Foundation. To cite this article click here for a list of acceptable citing formats.The history of earlier contributions by wikipedians is accessible to researchers here:

The history of this article since it was imported to New World Encyclopedia:

Note: Some restrictions may apply to use of individual images which are separately licensed.